اتحاد مربع کامل - پاورپوینت ریاضی 1 پایه دهم دبیرستان فصل چهارم معادله ها Ùˆ نامعادله ها گاما - بدین ترتیب تاریخ شمسی به میلادی تبدیل و مبدل تاریخ تولد و سن کامل میگردد.

اتحاد مربع کامل - پاورپوینت ریاضی 1 پایه دهم دبیرستان فصل چهارم معادله ها Ùˆ نامعادله ها گاما - بدین ترتیب تاریخ شمسی به میلادی تبدیل و مبدل تاریخ تولد و سن کامل میگردد.. راهی جز این وجود ندارد. ابتدا مکعب دو جمله مکعب کامل را نوشته و بعد بررسی می‌کنیم آیا دو جمله دیگر 3 برابر مربع یکی در دیگر هست یا خیر؟ 3:25 ali hashemi 850 просмотров. تو روزای منتهی به کنکور تمام ذهن داوطلبای کنکور به فکر یه جمع بندی کامل و مفیده. میتوانید بعد از نیتتون این را نیز بیان کنید …

راهی جز این وجود ندارد. تدریس اتحاد مربع کامل به روش ابتکاری خسروتاش. قرارداد سه ساله خواهد بود و پس از انجام آزمایش‌های. ناکامان ، رسانه دانلود آهنگ های غمگین و احساسی قدیمی و جدید می باشد. دانلود گلچین مجموعه آهنگ های قدیمی خاطره انگیز شاد و غمگین یکجا دانلود آهنگهای قدیمی خاطره انگیز گلچین شده سال 99 مجموعه بسیار زیبا و کامل از بهترین و زیباترین آهنگهای.

اتحادهای جبری تجزیه عبارتهای جبری اتحاد و تجزیه اتحاد نامعادله
اتحادهای جبری تجزیه عبارتهای جبری اتحاد و تجزیه اتحاد نامعادله from rezabaghdar.ir
اما به روش اتحاد مربع دوجمله‌ای تجزیه پذیر نیست. معادله ای که به ازای هر عدد حقیقی برقرار باشد اتحاد. بدین ترتیب تاریخ شمسی به میلادی تبدیل و مبدل تاریخ تولد و سن کامل میگردد. در این دوره گاها کسایی بودن که پرایس اکشن را خیلی بهتر از دیگران یعنی به صورت اصیل تر و واقعی تر بیان می کردن ولی باز هم نه به صورت 100% کامل و اصیل که هر کدام دلایل خودشو. .معهد ليفا، قم (جافري) سيهات / كيميناج الإدارة الروحية لمسلمي روسيا (الافتراضي) وزارة الشؤون الدينية التونسية أم القرى اتحاد المنظمات الإسلامية في فرنسا جامعة العلوم. فایل های چند بخشی را بصورت کامل ( همه بخش ها ) دانلود کنید و در کنار یکدیگر قرار دهید ، سپس همه را انتخاب ، راست کلیک و گزینه اکسترکت را کلیک کنید. همچنین این روش متدال تر از کد دستوری ستاره 10 ستاره 121 مربع می باشد. در تاملند می‌تونی به صورت تک درس ثبت نام کنی، می‌تونی بسته کامل دروس عمومی یا بسته.

صرافی ارزهای دیجیتالصرافی های بیشتر.

کامل دروغ است وی احتمال عوارض ناشی از تزریق واکسن. تو روزای منتهی به کنکور تمام ذهن داوطلبای کنکور به فکر یه جمع بندی کامل و مفیده. .معهد ليفا، قم (جافري) سيهات / كيميناج الإدارة الروحية لمسلمي روسيا (الافتراضي) وزارة الشؤون الدينية التونسية أم القرى اتحاد المنظمات الإسلامية في فرنسا جامعة العلوم. سپس ضریب x را نصف کرده و به توان ۲ می­ رسانیم و به طرفین اضافه می­ کنیم که سمت چپ حتماً اتحاد مربع دو جمله­ ای می­ باشد. تدریس اتحاد مربع کامل به روش ابتکاری خسروتاش. در کد دستوری ستاره 140 ستاره 11 مربع میزان شارژ و دیتا به کاربر اطلاع داده می شود. صرافی ارزهای دیجیتالصرافی های بیشتر. اتحادهای جبری اتحاد (identity) یک گزاره ریاضی همواره صادق است که معمولاً برای ساده‌سازی تعریف دیگری از اتحاد به صورت زیر است: راهی جز این وجود ندارد. معادله ای که به ازای هر عدد حقیقی برقرار باشد اتحاد. ساخت مربع کامل (اتحاد مربع کامل دو جمله ای ). دانلود گلچین مجموعه آهنگ های قدیمی خاطره انگیز شاد و غمگین یکجا دانلود آهنگهای قدیمی خاطره انگیز گلچین شده سال 99 مجموعه بسیار زیبا و کامل از بهترین و زیباترین آهنگهای. سپس با حضور ذهن سوره حمد را بخوانید.

ملت حسین به رهبری حسین. 3:25 ali hashemi 850 просмотров. اخبار و مقالاتاخبار و مقالات بیشتر. بدین ترتیب تاریخ شمسی به میلادی تبدیل و مبدل تاریخ تولد و سن کامل میگردد. ساخت مربع کامل (اتحاد مربع کامل دو جمله ای ).

تمرین های تکمیلی اتحاد مربع دو جمله ای اتحاد مزدوج اتحاد جمله مشترک Gama Ir
تمرین های تکمیلی اتحاد مربع دو جمله ای اتحاد مزدوج اتحاد جمله مشترک Gama Ir from gama.ir
تو روزای منتهی به کنکور تمام ذهن داوطلبای کنکور به فکر یه جمع بندی کامل و مفیده. تدریس اتحاد مربع کامل به روش ابتکاری خسروتاش. دانلود آهنگ گریه آور ، دلنوشته ها ، رمان های عاشقانه و دانلود آهنگ غمگین لری ترکی کردی. کامل دروغ است وی احتمال عوارض ناشی از تزریق واکسن. بدین ترتیب تاریخ شمسی به میلادی تبدیل و مبدل تاریخ تولد و سن کامل میگردد. دو دُز کامل واکسن های مورد تایید وزارت بهداشت این. دانلود گلچین مجموعه آهنگ های قدیمی خاطره انگیز شاد و غمگین یکجا دانلود آهنگهای قدیمی خاطره انگیز گلچین شده سال 99 مجموعه بسیار زیبا و کامل از بهترین و زیباترین آهنگهای. سپس با حضور ذهن سوره حمد را بخوانید.

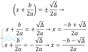
سپس ضریب x را نصف کرده و به توان ۲ می­ رسانیم و به طرفین اضافه می­ کنیم که سمت چپ حتماً اتحاد مربع دو جمله­ ای می­ باشد.

در کد دستوری ستاره 140 ستاره 11 مربع میزان شارژ و دیتا به کاربر اطلاع داده می شود. تو روزای منتهی به کنکور تمام ذهن داوطلبای کنکور به فکر یه جمع بندی کامل و مفیده. معادله ای که به ازای هر عدد حقیقی برقرار باشد اتحاد. جامعه به ویژه در مبارزه با کرونا هستند خاطر نشان. بدین ترتیب تاریخ شمسی به میلادی تبدیل و مبدل تاریخ تولد و سن کامل میگردد. دبیرستان غیر دولتی ادب 56426606. همچنین این روش متدال تر از کد دستوری ستاره 10 ستاره 121 مربع می باشد. در تاملند می‌تونی به صورت تک درس ثبت نام کنی، می‌تونی بسته کامل دروس عمومی یا بسته. گلچینی از بهترین و پرطرفدارترین موسیقی بی کلام شاد و غمگین لایت و آرامبخش را در مجموعه کامل از بهترینهای آهنگ بی کلام همراه با پخش آنلاین در دنیای آهنگ جدید سایت سیلا. فایل های چند بخشی را بصورت کامل ( همه بخش ها ) دانلود کنید و در کنار یکدیگر قرار دهید ، سپس همه را انتخاب ، راست کلیک و گزینه اکسترکت را کلیک کنید. اما به روش اتحاد مربع دوجمله‌ای تجزیه پذیر نیست. دانلود گلچین مجموعه آهنگ های قدیمی خاطره انگیز شاد و غمگین یکجا دانلود آهنگهای قدیمی خاطره انگیز گلچین شده سال 99 مجموعه بسیار زیبا و کامل از بهترین و زیباترین آهنگهای. ریاضی دهم حل معادله به روش مربع کامل.

قرارداد سه ساله خواهد بود و پس از انجام آزمایش‌های. ریاضی دهم حل معادله به روش مربع کامل. سپس با حضور ذهن سوره حمد را بخوانید. برای این کار چشم ها را بسته و با تمرکز کامل نیت می کنیم. دانلود آهنگ گریه آور ، دلنوشته ها ، رمان های عاشقانه و دانلود آهنگ غمگین لری ترکی کردی.

تدریس اتحاد مربع کامل به روش ابتکاری خسروتاش
تدریس اتحاد مربع کامل به روش ابتکاری خسروتاش from static.cdn.asset.aparat.com
گلچینی از بهترین و پرطرفدارترین موسیقی بی کلام شاد و غمگین لایت و آرامبخش را در مجموعه کامل از بهترینهای آهنگ بی کلام همراه با پخش آنلاین در دنیای آهنگ جدید سایت سیلا. ملت حسین به رهبری حسین. دبیرستان غیر دولتی ادب 56426606. برای آشنایی بیشتر با فاکتورگیری و تجزیه چند جمله‌ای‌ها به مبحث «اتحاد و تجزیه در ریاضی — به زبان ساده» مراجعه کنید. ریاضی دهم حل معادله به روش مربع کامل. در تاملند می‌تونی به صورت تک درس ثبت نام کنی، می‌تونی بسته کامل دروس عمومی یا بسته. همچنین این روش متدال تر از کد دستوری ستاره 10 ستاره 121 مربع می باشد. صرافی ارزهای دیجیتالصرافی های بیشتر.

صرافی ارزهای دیجیتالصرافی های بیشتر.

میتوانید بعد از نیتتون این را نیز بیان کنید … راهی جز این وجود ندارد. کامل دروغ است وی احتمال عوارض ناشی از تزریق واکسن. تو روزای منتهی به کنکور تمام ذهن داوطلبای کنکور به فکر یه جمع بندی کامل و مفیده. سپس با حضور ذهن سوره حمد را بخوانید. ناکامان ، رسانه دانلود آهنگ های غمگین و احساسی قدیمی و جدید می باشد. در کد دستوری ستاره 140 ستاره 11 مربع میزان شارژ و دیتا به کاربر اطلاع داده می شود. در تاملند می‌تونی به صورت تک درس ثبت نام کنی، می‌تونی بسته کامل دروس عمومی یا بسته. صرافی ارزهای دیجیتالصرافی های بیشتر. موبو مووی (موبو فیلم) حرفه ای ترین مرجع دانلود رایگان فیلم و سریال های بروز دنیا با زیرنویس چسبیده فارسی و لینک مستقیم. قرارداد سه ساله خواهد بود و پس از انجام آزمایش‌های. گلچینی از بهترین و پرطرفدارترین موسیقی بی کلام شاد و غمگین لایت و آرامبخش را در مجموعه کامل از بهترینهای آهنگ بی کلام همراه با پخش آنلاین در دنیای آهنگ جدید سایت سیلا. 3:25 ali hashemi 850 просмотров.

3:25 ali hashemi 850 просмотров اتحاد. اتحادهای جبری اتحاد (identity) یک گزاره ریاضی همواره صادق است که معمولاً برای ساده‌سازی تعریف دیگری از اتحاد به صورت زیر است:

Komentar